Дополнительно
Современные логистические системы всё активнее внедряют цифровые технологии для оптимизации операций и минимизации затрат времени и ресурсов. Особенно значимым этапом является управление складским двором, представляющее собой комплекс мероприятий по организации...
0
36
Значение автоматизации и ПЛК в современной промышленности
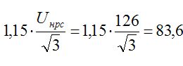
Автоматизация промышленных процессов является ключевым фактором повышения эффективности, надежности и безопасности производства. В условиях постоянно растущих требований к качеству продукции,...
0
93
Точечная сварка применяется там, где нужно быстро и аккуратно соединить тонкий металл. Ее используют при ремонте автомобилей, сборке металлических конструкций, работе с листовой сталью и другими похожими задачами. В промышленности для этого применяют...
0
93
Современная грузоподъемная техника требует не только качественной эксплуатации, но и регулярного профессионального обслуживания для поддержания ее надежности и безопасности. На сайте https://kran-tali.ru/ вы найдете полный спектр услуг, охватывающих...
0
100
Выбор места для загородного отдыха часто определяется его способностью предложить комплексное решение: объединить природу, активность и комфорт в единую развивающую среду для всех членов семьи. Примером такого сбалансированного подхода может служить...
0
154
Фильтры ФСН-Ц - это вертикальные напорные фильтры для механической и сорбционной очистки воды. Они используются в системах водоподготовки, коммунальном и промышленном водоснабжении, на очистных сооружениях и объектах, где требуется стабильное качество...
0
158
По данным Росреестра, в 2024 году 22% новых домов в сегменте индивидуального жилищного строительства (ИЖС) площадью до 200 м² было построено из ячеистых бетонов. Согласно отраслевой статистике, на пеноблоки приходится около 68% этого объёма, что формирует...
0
159
По данным Росстата, в 2024 году в Российской Федерации введено в эксплуатацию 1,2 млн м² жилых модульных зданий, из которых 68% приходится на объекты постоянного проживания. Этот показатель по сравнению с 2020 годом (22%) демонстрирует качественный сдвиг...
0
161
В 2024 году на ТЭЦ-22 было зафиксировано разрушение узла крепления магистрали системы охлаждения. По данным заключения Ростехнадзора (отчёт № РТН-24/8812), причиной послужила интенсивная гальваническая коррозия стального хомута в месте контакта с медной...
0
161
По данным Росстата, в 2024–2025 годах отмечается устойчивый рост числа временных и сезонных объектов: строительных площадок, логистических хабов, мест проведения массовых мероприятий. Это напрямую связано с увеличением потребности в быстроразворачиваемых...
0
162











